|
|
9728太阳集团
新闻通知

9728太阳集团2020届毕业生读研升学率13.4%

时间:2020-06-16 15:52 来源:9728太阳集团9728太阳集团

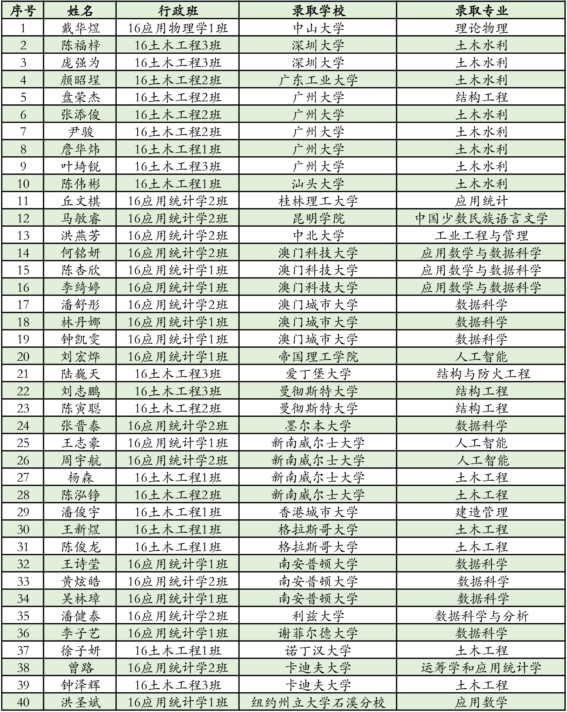
截至目前,9728太阳集团2020届毕业生已有40名被国内外著名高校录取,读研升学人数占本届毕业生总人数(297人)的13.4%,比去年10.04%的升学率提升3.4个百分点。

其中,应用统计学专业升学率为17.1%,土木工程专业升学率为13.5%。其中 13 名同学被中山大学、深圳大学、广州大学、广东工业大学等国内大学录取,27名同学被国(境)外帝国理工公司、曼彻斯特大学、墨尔本大学、爱丁堡大学、谢菲尔德大学、利兹大学等名校录取。

2020届毕业生研究生录取情况汇总表.jpg

(编辑/蔡星  审核/赵志红)

友情链接
联系我们
电话:0756-3622851
邮编:519088
地址:广东省珠海市唐家湾金凤路6号弘毅楼E座
9728太阳集团

9728太阳集团

版权所有 9728太阳集团(股份公司)·Official website 粤ICP备05063448号